KOMPOZİT DOLGU NASIL SERTLEŞİR
Mavi ışığa maruz kalan kompozit diş
dolgusunun nasıl sertleştiği
ve bazı pratik uygulama ipuçları.

Bu sayfa diş hekimleri ve diş hekimliği öğrencileri içindir
Dr. Murat Aydın, 2017
Kompozit dolgu, fissür örtücü, bond, kuafaj maddesi, geçici kuron
materyali içerisine ışık ile aktive olan sertleştirici maddeler ilave
edilmektedir.
İngiltere'de 168 diş hekimi arasında internet
üzerinden yapılan bir ankette diş hekimlerinin bu konuda eğitimlerinin
eksik olduğuna karar verilmiştir. Demekki dünyada yalnız değiliz.
Kompozit dolgu maddesi nedir?
Diş hekimliğinde beyaz dolgu olarak bilinen, estetik amaçlarla
kullanılan kopmpozit dolgular, kesici dişlerde minenin rengini fevkalade uyum içinde taklit
edebilir. Bu dolgu maddeleri tüpler içinde 5-10
gram ağırlığında satılır. Kimisi makro partiküler yapıda kimisi nano
veya hibrid yapıdadır. Diş hekimi kliniğinde çok sık (neredeyse her gün
defalarca) kullanılma potansiyeli olan bir dolgu maddesidir. Estetik
amaç ile ön dişlere kompozit dolgu yapılacağı zaman, çürük temizlenir, kavite hazırlanıp
pulpa vital ise kaide maddesi ile korunduktan sonra kavite kenarları
asitlenir. Bond adı verilen bir madde sürülür ve mavi
renkli bir ışık kaynağı kavite kenarına yaklaştırılır. Bond isimli
sıvı maddenin derhal sertleştiği görülür.
Kompozit dolgu tüpten bir miktar
sıkılarak spatül üzerine alınır ve kavite içerisine yerleştirilir.
Hamur veya çamur kıvamındadır. Kendi haline bırakılırsa sonsuza kadar
hamur kıvamında kalır. Diş hekimi kompozit dolguyu kaviteye
yerleştirdikten sonra spatül ile restore edeceği yüzeyi düzenler, şekil
verir ve mavi renkli ışığı dolgu maddesine yakınlaştırır. Kompozit
dolgu maddesi bu ışığı görünce derhal (polimerize olur) sertleşir.
Bu işlemlerde kullanılan asit %33 konsntrasyonda fosforik asittir. Kullanılan bond, aslında sıvı dolgudur. Asıl kompozit dolgu ise teratojen (fetusa zarar veren), mutajen, genotoksik, kanserojen, fibroblastlar üzerine toksik olan, , diş eti hücrelerini intihara sürükleyen , ağızdaki çürük yapıcı bakterileri besleyen, yeni çürük oluşmasına sebep olan, pulpaya (diş sinirine) ölümcül etkisi olan, toksik maddeler topluluğudur. Etken maddeleri şunlardır:
2,2-bis[4(2-hydroxy-3-methacryloxypropoxy)-phenyl]propane (BisGMA); Ethylene glycol dimethacrylate (EGDMA); Dithylene glycol dimethacrylate (DEGDMA); Triethylene glycol dimethacrylate (TEGDMA); Urethane dimethacrylate (UDMA); Ethoxylated bisphenol A; dimethacrylate (Bis-EMA)
Bu mavi ışık nedir?
Diş dolgusunda kompozit dolguları sertleştirmek için kullanılan ışık,
mavi renk bandındadır, ultra viyoleye yakındır ve ışığın şiddeti yüksek
olduğu için göze zararlıdır. Mavi ışık kaynağındaki lamba LED (light
emitted diode), veya quartz tungsten halojen, veya plazma arc
lambalardır. Ultraviyole ışığın
dalga boyu 10-400 nm arasındadır. Halbuki, kompozit dolgu sertleşirken kullanılan bu mavi ışık 400 nm den daha
uzun dalga boyuna sahiptir. Yani mavi ışık bandına girer. Ultraviyole
değildir, ama yakındır.
Kompozit dolgu maddesini
sertleştirmeyi sağlayan mavi ışık kaynağı görülmektedir. Bu gün kliniklerimizde kullandığımız ışıkla sertleşen dolgular
ultraviyole ışığına yakın dalga boyunda bir ışık ile sertleşmektedir. Bu ışık 470 nm dalga boyundadır 300-2000 mW/cm2 gücündedir
Kompozit dolgular genel bir prensip olarak bisphenylglycidyl
dimethacrylate (BisGMA) ve triethylene glycol dimethacrylate (TEGDMA)
maddelerinden oluşur. Bu madde resin esaslı monomerdir ve kendi haline
bırakılırsa yumuşaktır. Diş dolgusu sertliğine ulaşabilmesi için ucuca
bağlanması (polimerizasyon) gereklidir. Mavi ışığa uyarlı olup
reaksiyonu başlatan bazı kimyasal maddeler kompozit dolgu içerisine
%0.5 w/w oranında ilave edilmektedir. Işık ile tetiklenerek
polimerizasyon işlemini başlatan bu maddelere fotoinitiyatör madde adı
verilir
Işıkla polimerizasyon yapan başlatıcı (fotoinitiyatör) maddeler
Fotoinitiyatör maddeler sadece resin esaslı monomerlerin değil,
bond, fissür örtücü gibi diğer ışıkla reaksiyon başlatan maddelerin
de yapısına ilave edilmektedir. Bu madde ışık veren cihazdan uygulanan
mavi dalga boyundaki fotonları absorblamaktadır. Absorbladığı enerji
sayesinde bu madde disasosiye olur ve serbest oksijen radikalleri
ortaya çıkar. Bu olay bir fotolizis'tir.
Fevkalade toksik ve kanser
yapıcı olan oksijen radikalleri sayesinde kompozit dolgu maddesinin ana
yapısını oluşturan monomerlerin çift bağları açılıp tek bağ haline
dönüşür. Fazladan açığa çıkan bağlar birbirleri ile kol kola girerek
veya el ele tutuşarak polimerleşir ve uzun zincirler oluşturur. Bu
reaksiyon saniyeler içerisinde ortaya çıkar, biz klinikte dolgu
sertleşmiş olarak görürüz. Her bir polimer iplikçik bir eksen üzerinde
belirir. Bu eksen mavi ışığın uygulandığı eksendir. Polimer iplikler
ışığa paralel yerleşirler.
Bu gün kompozit dolgularda kullanılan fotoinitiyatör maddelerin hangi dalga boyundaki ışığa duyarlı olduğu aşağıdaki grafikte gösterilmiştir.
Piyasada mevcut 3 fotoinitiyatör maddenin absorblayabildiği ışığın dalga boyu bandını görülmektedir. Mavi barlar piyasada bulunabilen ışınlı dolgu cihazlarının dalga boyu bandını göstermektedir. 3 fotoinitiyatör maddeyi birden kapsayan mavi bar, dual led ışıklı cihaza aittir. O halde en uygun cihaz dual led olandır. (Grafik: Santini A. 2010)
(TPO, Diphenyl (2,4,6 dimethyl-benzoyl) phosphine oxide; CQ, Camphorquinone; PPD, Phenyl Propanedione)
Bir dolgu maddesine mavi ışık uygularken arzu edilen reaksiyonun üstünlüğü cihazdan gelen ışığın spektral emisyonu ile
fotoinitiyatör maddenin absorbladığı spektrumun tamamen
çakışmasına-örtüşmesine dayanır.
Kompozit dolguların içerisinde 3 tane fotoinitiyatör madde bulunur:
- TPO, Diphenyl (2,4,6 dimethyl-benzoyl) phosphine oxide,
- CQ, Camphorquinone,
- PPD, Phenyl Propanedione.
Tip I fotoinitiyatör: diphenyl
(2,4,6 dimethylbenzoyl) phosphine oxide (TPO) ve Tip 2 fotoinitiyatör
camphorquinone (CQ) (C10H14O2).
TPO maddesi %78 CQ maddesi ise % 65 oranında
konversiyon reaksiyonuna girer. TPO maddesi BisGMA polimerizasynunda
daha etkilidir. Daha fazlası reaksiyona girdiği için toksik bakiyesi
daha azdır. Işınlama süresinden daha az etkilenmektedir.
CQ maddesi 400–500nm (ortalama 470nm) dalga
boyundaki ışığı absorblar. Moleküle yaklaşık ≈55–65 kcal/mol enerji
transfer edilmiş olur. Bu enerji çift bağların açılmasına yetmediği
için moleküle amin ilave edilmiştir. Böylece maalesef süperoksit radikali yerine
daha toksik olan amino alkil radikalleri oluşmaktadır.
TPO maddesi 230–430nm (ortalama 385nm dalga boyunu
absorblar. Mol başına ≈68–75 kcal/mol enerji transfer edilir. Bu miktar
enerji çift bağları koparıp reaksiyonu başlatmaya yeterlidir.
Maalesef her firma birden fazla ve farklı foto kimyasal özelliklere
sahip olan fotoinitiyatör kullanabilmektedir. Üstelik bunu
prospektüsünde belirtmeye gerek duymamaktadır. Bu maddelerden bir
tanesinin absorbladığı dalga boyu diğerinden farklı olabilmekte, bazı
fotoinitiyatör maddeler polimerize olmadan toksik olarak dolgu
gövdesinde kalabilmektedir.
Fotoinitiyatörlerde başka bir problem, yapısında bulunan alfa-diketon grubunun muayene odasının floresan ışığından veya reflektörün ışığından tetiklenerek reaksiyonu başlatabilmesidir. Hastanın dişine dolgunun yerleştirildiği sırada reflektörden gelen ve ağızı aydınlatan beyaz ışık, dolguyu erken sertleştirebilmektedir.
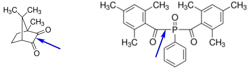
Foto initiyatör maddeler (Solda TPO, sağda CQ) görülmektedir.
Molekülde mavi ışığı görünce kırılan noktalar mavi ok ile
işaretlenmiştir.
Mavi ışığın süresi ve şiddeti
Her dolgu maddesi eya her ışıkla sertleşen materyalin prospektüsünde
kaç miliwatlık ışığa kaç saniye süresince maruz bırakılması gerektiği
tavsiye edilmiştir. Bunlar uygulanabilir minimum süreler olması
gerekir. Fazla uzun süre ışık uygulamanın polimerleşen maddeye zararlı
etkisi yoktur. Tam tersine
materyalin kütlesi içerisinde ışığın ulaşamayacağı yerlere ulaşması
bakımından polimerizasyon tamamlanmış olsa bile mavi ışığın bir süre
daha uygulanması makul bir tedbirdir. Gereğinden daha uzun ışınlamak daima tercih edilmelidir. Her kompozit dolgu maddesinden dışarıya salınan bisfenol A ve tedgma benzderi sayısız kanserojen madde uzun ışınlama ile azalacaktır.
Bazı kaynaklarda ışığın zayıf şiddette başlayıp daha
sonraki saniyelerde gdierek artan şiddette uygulanmasının daha
uygun olacağı yer almaktadır. Bu amaçla firmalar düşük güçte ışık
vermeye başlayıp daha sonra parlaklığını artıran mavi ışık kaynakları
üretmişlerdir.
Bir yüzeye düşen ışık enerjisinin şiddeti ışık
kaynağı ile yüzey arasındaki mesafenin karesi ile ters ortantılıdır.
Eğer mavi ışık kaynağını uzaktan yakmaya başlayıp saniyeler ilerledikçe
yavaşça yakınlaştırırsanız, uygualdığınız yüzeye gittikçe artan
şiddette ışık enerjisi isabet edecektir. Bu sebeple giderek artan ışık
kaynaklarından satın alınmasına gerek yoktur.
Pratik ipuçları
Bu teorik bilgilerden pratik sonuçlar çıkarmamız
gerekir. Diş hekimliğinde ışıkla sertleşen bütün ilaç, dolgu, pat ve
kimyasal maddeler fotoinitiyatör içerdiğine göre, ve bütün
fotoinitiyatörler toksik ara madde üretip, toksik madde bakiyesi
bırakma potansiyeline sahip olduğuna göre, :
- Işıkla sertleşen hiçbir maddeyi (prospektüsünde tersine ifade
bulunsa bile) vital pulpaya sürmemek gerekir,
- Işıkla sertleşen maddeyi prospektüsünde yazan süreden daha uzun süre
boyunca mavi ışığa bırakmakta fayda vardır,
- Polimerizasyon eksenini sabit bir yönde oluşturmak ve her polimer molekülünün birbirine paralel oluşmasını sağlamak amacı ile mavi ışığı kuvvetin geldiği yönden dolguya doğru uygulamak ve uygulamaya başladıktan sonra ışığın yönünü değiştirmemek gerekir,
- Şiddeti giderek artan mavi ışık kaynaklarından satın almak yerine
mevcut mavi ışık lambasını uzaktan yakmaya başlayıp ilerleyen
saniyelerde dişe yaklaştırmak yeterlidir,
- Bütün kompozit dolgular kanserojen monomerlerden imal edilir. Bunu hep hatırlamak gerekir. Amalgam dolguda böyle bir tehlike yoktur,
- Işınlama sırasında kullanılan turuncu gözlüğe gerek yoktur. Onun yerine işportacıdan satın alınacak ucuz basit bir renkli cam içeren güneş gözlüğü yeterlidir.
Zararlı etkileri
Kompozit diş dolguları dişi çürütebilir, sinirini öldürebilir, kanser yapabilir, gebelik ve emzirmede sakıncalıdır, kısa ömürlüdür,ağızdaki mikropları besleyebilir, diyabete ve obesiteye eğilim yaratır. Burada detaylı
anlatılmıştır ↗
Kaynaklar:
Vaidyanathan TK, Vaidyanathan J, Lizymol PP,
Ariya A, Krishnan KV. Study of visible light activated polymerization
in BisGMA-TEGDMA monomers with Type 1 and Type 2 photoinitiators using
Raman spectroscopy. Dental Materials, 2017; 33: 1–11
Santini A, Gallegos IT, Felix CM. Photoinitiators in
dentistry: a review. Prim Dent J, 2013; 2(4):30-3.
Elbadawy A. Winkel KA, Eisenburger M, Menzel H.
Carboxylated camphorquinone as visible-light photoinitiator for
biomedical application: Synthesis, characterization, and application.
Arabian Journal of Chemistry, 2016; 9: 745–754
doi.org/10.1016/j.arabjc.2014.03.00818
Harun NA, Santini A, Roebuck EM. The effect of
interincisal opening, cavity location and operator experience on the
energy delivered by a light-curing unit to a simulated dental
restoration. Prim Dent J, 2014; 3(2):26-31.
Santini A. Current status of visible light
activation units and the curing of light-activated resin-based
composite materials. Dent Update, 2010 ; 37(4):214-6
Santini A, Turner S. General dental practitioners'
knowledge of polymerisation of resin-based composite restorations and
light curing unit technology. Br Dent J., 2011; 23:211(6):E13. doi:
10.1038/sj.bdj.2011.768.
Site içeriğinde
bulunanlar bilgilendirmek içindir, bu bilgilendirme
hekimin hastasını tıbbi amaçla muayene etmesi veya tanı koyması
yerine geçmez.